
自20世纪90年代以来,科学家已经了解到宇宙正在加速膨胀,星系之间的距离现在比数十亿年前扩大得更快。导致这一现象背后的神秘力量被称为暗能量。暗能量似乎与引力相反,将宇宙中大多数物体推得更远而非将它们拉在一起。尽管暗能量约占宇宙总质能的70%,但其性质仍然是个谜。

阿尔伯特·爱因斯坦认为,暗能量是一个宇宙常数,一种编织在时空结构中的形式不变的能量。如果是这样,暗能量施加的力永远不会改变,那么宇宙应该永远继续膨胀(并加速)。但1998年,此次研究合著者、普林斯顿大学理论科学中心主任保罗·斯坦哈特等人提出了一种不同的理论认为,暗能量并非恒定的自然力,而是一种叫做精髓的实体,会随时间的推移而衰减。

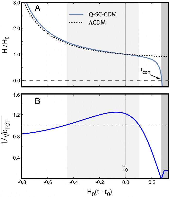
在这篇新论文中,包括斯坦哈特在内的3位科学家试图根据过去对宇宙膨胀的观测,对暗能量的性质进行建模。结果发现,尽管宇宙已加速膨胀了数十亿年,但暗能量的斥力可能正在减弱,宇宙的加速膨胀可能会在未来6500万年内“迅速”结束,在1亿年内,宇宙可能会完全停止膨胀,进入缓慢收缩的状态。斯坦哈特说:“这将是一种非常缓慢的收缩,宇宙需要几十亿年才能达到现在大小的一半。”

斯坦哈特表示,从那时起,宇宙可能会发生两种情况:要么持续收缩,直到在一次大“紧缩”中崩溃,结束时空;要么收缩到刚好与原始状态相似的状态,然后发生另一次大爆炸,或者一次大“反弹”,从旧宇宙的灰烬中创造出一个新宇宙。
加拿大不列颠哥伦比亚大学物理学和天文学教授加里·辛肖表示,由于该模型仅依赖于过去对宇宙膨胀的观测,而且宇宙中暗能量的性质仍是未解之谜,因此最新研究提出的假设目前无法验证。宇宙未来的命运如何,只有时间会告诉人们答案。

